Perspectivas teóricas
Theoretical Perspectives
Perfil infantojuvenil del suicidio en España: análisis de los últimos datos y tendencias disponibles (2012-2022)
Theoretical Perspectives
Profile of Child and Youth Suicide in Spain: Analysis of the Latest Available Data and Trends (2012-2022)
Noelia Navarro Gómez1 y Rubén Trigueros-Ramos2 1Universidad de Málaga, España; 2Universidad de Almería, España
Recibido a 22 de Mayo de 2024, Aceptado a 8 de Julio de 2025Resumen
El suicidio juvenil es una preocupación global en aumento, incluida España. Este análisis de 2012-2022 examina suicidios en menores de 15 años y jóvenes de 15 a 29 años, abordando tendencias, distribución geográfica y métodos. Aunque menos frecuentes, los suicidios entre menores de 15 años impactan profundamente a las comunidades. En el grupo de 15 a 29 años, los suicidios son más numerosos, especialmente entre hombres, con un aumento notable en 2022. Los métodos varían según sexo y edad, predominando ciertos métodos en cada grupo. Se observan picos estacionales en verano y otoño. La distribución geográfica muestra diferencias significativas entre comunidades autónomas, con tasas más altas en algunas regiones. Factores socioeconómicos, familiares, psicológicos y culturales interrelacionados influyen en los suicidios juveniles, destacando la necesidad de estrategias de prevención y apoyo específicas para abordar esta compleja problemática.
Abstract
Youth suicide is a growing global concern, including in Spain. The present analysis of the period 2012-2022 examines suicides in those under 15 years of age and in young people 15 to 29 years old, addressing trends, geographic distribution, and methods. Although less frequent, suicides among those under age 15 have a profound impact on communities. In the 15 to 29 years age group, suicides are more numerous, especially among men, with a notable increase in 2022. Methods vary by gender and age, with certain methods predominant in each group. Seasonal peaks are observed in summer and autumn. Geographic distribution shows significant differences between regions (autonomous communities), with higher rates in some regions. Socioeconomic, familial, psychological, and cultural factors influence youth suicides, highlighting the need for specific prevention and support strategies to address this complex issue.
Palabras clave
suicidio, jóvenes, adolescentes, estrategias preventivas
Keywords
Suicide, youth population, trends, prevention
Noelia Navarro Gómez es Profesora Ayudante Doctora en el Departamento de Psicología Evolutiva y de la Educación en la Universidad de Málaga (UMA). Sus investigaciones abarcan la psicología educativa, el bienestar de los jóvenes y la reducción del estigma hacia problemas de salud mental mediante recursos tecnológicos y arte. Doctora en Psicología y Educación por la Universidad de Almería con trabajos aplicando serious games en la educación y sensibilización hacia los trastornos mentales. 0000-0002-6093-648X
Rubén Trigueros-Ramos es profesor titular e investigador en el Departamento de Psicología Evolutiva y de la Educación de la Universidad de Almería (UAL). Su línea de investigación se centra en la motivación, el bienestar psicológico y la intervención socioeducativa, especialmente en salud mental y entornos escolares. 0000-0001-8489-5179
Páginas Artículo e10
DOI https://doi.org/10.5093/cc2025a10
EPUB 1989-9912-cc-16-2-e10epub.epub
Contenido
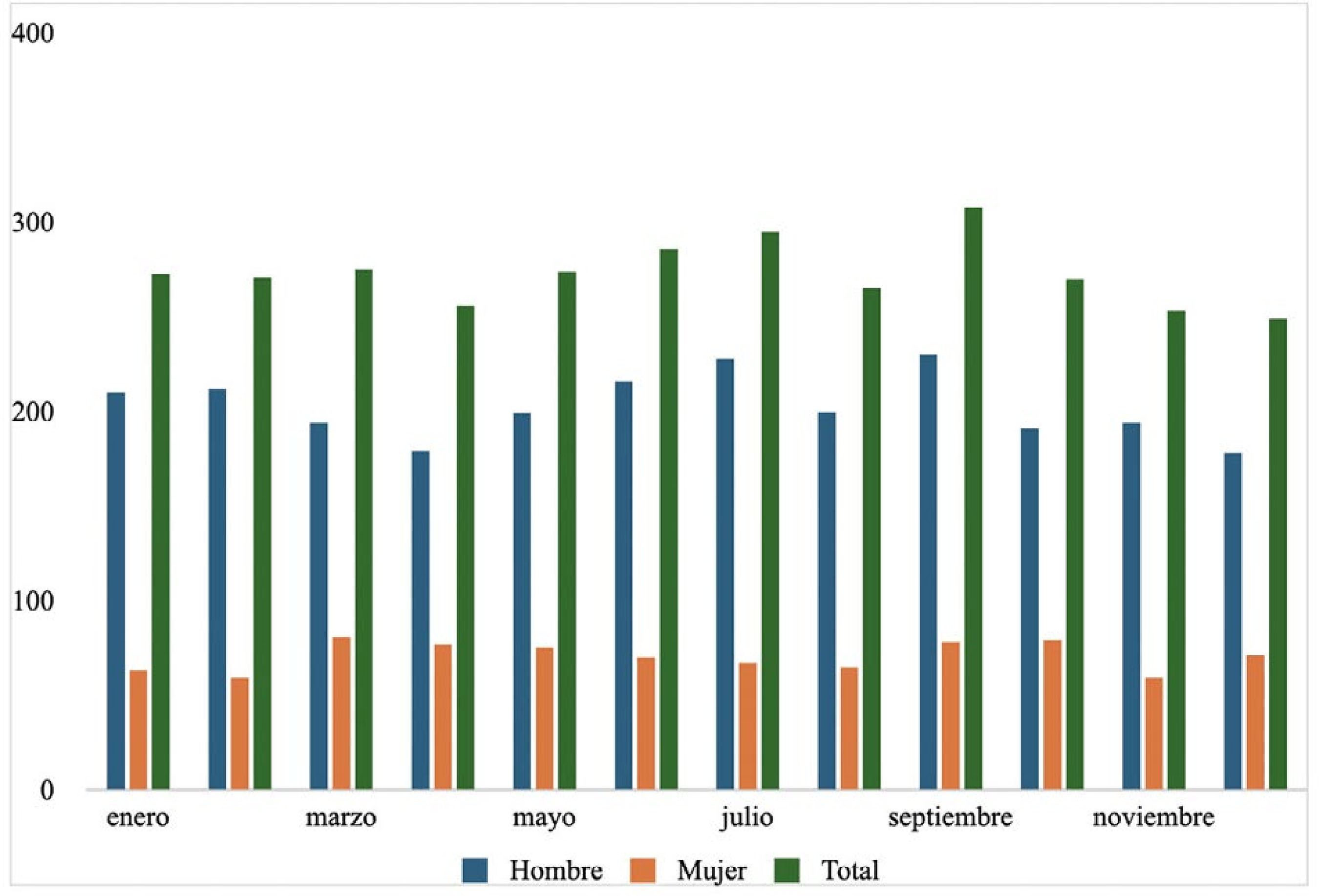
La problemática del suicidio representa una preocupación social constante y un desafío significativo para la salud pública en todo el mundo, con consecuencias que trascienden lo individual y afectan al entorno más cercano. Según la Organización Mundial de la Salud (OMS, 2024), se estima que más de 720.000 personas fallecen por suicidio cada año, lo que lo sitúa como una de las principales causas de mortalidad a nivel global, con una tasa de 11.4 personas por cada 100.000 habitantes. Asimismo, a estas cifras se le añade el espectro que incluye suicidios frustrados, conductas suicidas o parasuicidas, así como ideación autolítica, cifras que son entre 10 y 20 veces más frecuentes que los casos consumados (Espandian et al., 2020). El suicidio es, por tanto, un fenómeno universal que ha evolucionado a lo largo del tiempo, con cambios significativos en las tasas y patrones según la edad, el género, y factores socioeconómicos (Martínez-Alés et al., 2020; Värnik, 2012). En España, aunque las cifras no son tan elevadas como en otros países, también genera inquietud la tendencia creciente. Se estima que anualmente se producen entre 2.500 y 4.500 suicidios consumados, con entre 25.000 y 50.000 intentos de suicidio. Según los registros del Instituto Nacional de Estadística (INE, 2022), el año 2022 registró la mayor cantidad de suicidios, con un total de 4.227, lo que equivale a más de once muertes autoinducidas al día y convierte al suicidio en la principal causa de muerte externa. Es notable que la tasa de suicidios consumados en España sea seis veces mayor que la de víctimas de asesinatos y tres veces mayor que la de víctimas de accidentes de tráfico; pese a todo esto, no se observa una respuesta equivalente por parte de la sociedad en términos de medidas preventivas y concienciación (Martínez-Alés et al., 2020; Sáiz y Bobes, 2014). En particular, las disparidades en las tasas de suicidio entre las diferentes comunidades autónomas en España indican que factores locales, como la disponibilidad de recursos de salud mental, pueden ser determinantes clave en la prevención de este fenómeno (Martínez-Alés et al., 2020). En este sentido, un estudio reveló que el uso de una escala de respuesta tricotómica (no, sí, no deseo contestar) para identificar indicadores suicidas en adolescentes mejoró la sensibilidad del autoinforme, permitiendo detectar casos con alto riesgo suicida que podrían pasar desapercibidos en sistemas dicotómicos tradicionales (Falcó et al, 2023). El aumento de las tasas de suicidio entre los jóvenes, específicamente aquellos de 15 a 29 años, es especialmente alarmante y representa una preocupación creciente a nivel global. Este incremento plantea serias interrogantes sobre los factores que lo impulsan y subraya la necesidad urgente de abordar este fenómeno desde diversas perspectivas. Es fundamental analizar detenidamente los factores que contribuyen a esta situación, prestando especial atención al impacto de eventos significativos, como la pandemia de COVID-19, sobre la salud mental de esta población (López-Ibor, 2020; Shah et al., 2020). Tras el brote de la pandemia, los intentos de suicidio y la ideación autolítica han pasado a ser las principales causas de consulta en los servicios psiquiátricos de urgencias en niños y adolescentes (Kerr et al., 2006; López-Martínez y Serrano-Ibáñez, 2021). El objetivo del presente artículo es trazar un perfil descriptivo de la problemática del suicidio en la población infantojuvenil, proporcionando un análisis riguroso de las tendencias, distribución geográfica y métodos utilizados en dos grandes grupos de edad: menores de 15 años y adolescentes y jóvenes de entre 15 y 29 años, en el periodo comprendido entre 2012 y 2022. En este sentido, se espera que este artículo contribuya al cuerpo de conocimiento existente sobre el tema del suicidio juvenil, proporcionando una base sólida para futuras investigaciones y acciones dirigidas a mitigar este grave problema de salud pública. Este estudio se basa en un análisis descriptivo y epidemiológico del suicidio en la población infantojuvenil en España. Se analizaron datos oficiales extraídos del Instituto Nacional de Estadística (INE), consultados entre marzo y abril de 2024, correspondientes al período 2012-2022. Se empleó una metodología cuantitativa, descriptiva y retrospectiva, basada en el análisis de datos secundarios obtenidos de registros oficiales de mortalidad. Población y muestra La población de estudio comprende a los menores de 30 años censados en el Instituto Nacional de Estadística de España, divididos en dos grandes grupos: menores de 15 años y adolescentes y jóvenes de 15 a 29 años. Se analizaron variables sociodemográficas como sexo, edad, comunidad autónoma de residencia y método de suicidio empleado. Procedimiento En primer lugar, se recopilaron datos del INE, y se seleccionaron variables relacionadas con los suicidios, desglosados por edad, sexo, comunidad autónoma, método de suicidio y mes de ocurrencia. Posteriormente, se procedió a la limpieza y procesamiento de los datos, eliminando registros duplicados o incompletos. Análisis de datos Los análisis de datos se realizaron con el programa estadístico IBM SPSS 24 (versión 27) (2020). Se realizó un análisis descriptivo y se calcularon frecuencias absolutas y relativas, tasas de suicidio por cada 100.000 habitantes, y se analizaron las tendencias temporales y espaciales y se compararon diferencias por sexo y grupo etario. Perfil sociodemográfico del suicidio en jóvenes Durante el período de 2012 a 2022, se registraron un total de 3368 suicidios entre los menores de 30 años, con una distribución desigual entre hombres y mujeres en diferentes grupos de edad. En el grupo de menores de 15 años, se reportaron 118 suicidios (75 hombres y 43 mujeres). Si bien, los casos son menos frecuentes en comparación con otros grupos de edad, su impacto dado su carácter insólito es devastador en las familias, amigos y comunidades afectadas. En contraste, en el rango de edades entre 15 y 29 años, se observó un número mucho más alto de suicidios, con un total de 3250 casos, siendo los hombres responsables de 2406 suicidios y las mujeres de 844. Estos datos sugieren una tendencia constante de que los hombres tienen tasas de suicidio más altas que las mujeres en ambos grupos de edad. En el total general, los hombres representaron la mayoría de los suicidios, con 2.481 casos, en comparación con los 887 casos en mujeres (Ver Tabla 1). Tabla 1 Número de suicidios por franja etaria y sexo (2012-2022) Fuente: Instituto Nacional de Estadística En lo que se refiere a la tendencia por años en menores de 15, se consolida que la cantidad de suicidios en chicos es generalmente mayor que en chicas en la mayoría de los años, con algunas excepciones. Por ejemplo, en 2017 hubo más suicidios en mujeres que en hombres y en 2020, la cifra se igualó en ambos sexos (7 casos). Sin embargo, en años como 2021, el número de suicidios en hombres superó significativamente a los casos en mujeres. Precisamente en el año 2021, se observa un importante pico en el número de suicidios pasando de 14 suicidios en 2020 a 22 en 2021, duplicándose el número de suicidios en el caso de los chicos, pero manteniéndose relativamente estable la cifra en el caso de las chicas (de 7 se pasó a 8) (ver Figura 1). Asimismo, es importante señalar que, en el año 2020, el suicidio representó la segunda causa de muerte entre los jóvenes de 15 a 29 años, con un total de 300 fallecimientos. Además, en el año 2021, superó en mortalidad a los procesos oncológicos, convirtiéndose en la principal causa de muerte a nivel nacional en este grupo de edad. Figura 1 Evolución número de suicidios en menores de 15 años (2012-22). Chicos, chicas y total Fuente: Instituto Nacional de Estadística Por otro lado, en lo que se refiere al rango de edad comprendido entre los 15 y los 29 años (Figura 2), los datos durante el periodo 2012-2022 muestran una tendencia general de aumento en el número total de suicidios, pasando de 305 en 2012 a 341 en 2022, aunque con fluctuaciones a lo largo de los años. Se observa que los hombres tienen tasas de suicidio más altas que las mujeres en cada año, con una diferencia significativa en 2012 (239 hombres frente a 66 mujeres) que se mantiene constante. Mientras que en 2021 preocupaba el alto número de suicidios infantiles, en 2022 es destacable el incremento del suicidio en adolescentes (de 15 a 19 años), especialmente en varones: mientras que en 2021 se produjeron 53 suicidios (28 chicos y 25 chicas), en 2022 fueron 75 (44 chicos y 21 chicas). Este aumento sustancial en el número de suicidios adolescentes, casi duplica el número en comparación con 2021. Aunque no hay una tendencia clara de aumento o disminución en ninguno de los grupos a lo largo de los años, estos datos resaltan la importancia de abordar el problema del suicidio en la población en general y de analizar más a fondo los factores detrás de estos cambios para implementar medidas eficaces de prevención. Figura 2 Evolución número de suicidios rango 15-29 años (2012-22). Chicos, chicas y total Fuente: Instituto Nacional de Estadística Método empleado Con respecto al método empleado, los datos revelan tendencias y diferencias por sexo. En el caso de los menores de 15 años, el ahorcamiento, estrangulamiento o sofocación y saltar desde un lugar elevado son los métodos más comunes, con una tendencia a ser utilizados por ambos sexos, aunque en diferentes proporciones. Los chicos muestran un mayor número de suicidios en la mayoría de los métodos, con excepciones como el ahogamiento y sumersión, donde las chicas tienen más casos. Además, ciertos métodos, como la colisión de vehículo de motor y lesión por medios no especificados, muestran una preferencia significativa por un sexo específico o carecen de casos en uno de los sexos. En el caso del grupo etario 15-29 años, los datos presentados muestran una marcada disparidad en el número de suicidios según los diferentes métodos empleados y desglosados por género (hombre y mujer). Es notable que, en la mayoría de los métodos, los hombres registran cifras considerablemente más altas en comparación con las mujeres. Específicamente, el envenenamiento autoinfligido destaca como el método más común para ambos sexos, aunque con una significativa discrepancia en los números, siendo mucho más prevalente entre los hombres (1200 casos frente a 326). Además, métodos como el ahorcamiento, estrangulamiento o sofocación 669 suicidios, frente a 315 en mujeres y saltar desde un lugar elevado también muestran una notable diferencia entre hombres y mujeres, con una clara predominancia de casos en los hombres (78 frente a 29 casos). Mes suicidio En cuanto al mes en el que se producen los suicidios, en el grupo de menores de 15 años (ver Figura 3), tomando el número total, mayo (15 casos), enero (13), marzo (13), abril y octubre (ambos con 12 casos) son los meses en los que se registra un número mayor. Por el contrario, las cifras más bajas se dan en septiembre y noviembre (5 casos en ambos meses). Desglosados por sexos, salvo en los meses de enero, y abril en los que la tendencia se invierte, el número de casos es mayor en todos los meses en los chicos. En julio la cifra se iguala (4 casos en ambos sexos). En el caso de los chicos, las cifras más altas se registran en los meses de mayo, febrero, marzo y octubre (14, 8, 7 y 7 casos, respectivamente y las más bajas en enero, abril, julio, septiembre y noviembre (4 casos). En el caso de las chicas, los meses con más casos son enero (9), abril (8) y marzo (6 casos); los meses donde los registros son más bajos son febrero (2), mayo, septiembre y noviembre (1 caso). Se registran diferencias muy acusas en enero (4 casos en chicos y 9 en chicas) y en mayo (14 casos en chicos y 1 en chicas). Figura 3 Distribución suicidios por meses y sexo. Menores de 15 años Fuente: Instituto Nacional de Estadística (2012-2022) Por su parte, en la franja etaria de 15 a 29 años, al analizar los datos de suicidios por mes y sexo, se observan varias tendencias y patrones importantes (ver Figura 4). En primer lugar, se destaca que septiembre presenta el mayor número total de suicidios (308), seguido por julio (295) y junio (286), mientras que diciembre (249), noviembre (253) y abril (256) muestran las cifras más “bajas”. Esto sugiere que los suicidios tienden a ser más frecuentes durante los meses de verano y otoño, con un pico significativo en septiembre. Al considerar las diferencias entre sexos, se observa que, en todos los meses, el número de suicidios entre hombres es mayor que entre mujeres. Esta disparidad es especialmente notable en los meses de julio, febrero y septiembre (con 161, 153 y 152 casos más de hombres que de mujeres, respectivamente). En el caso de los hombres, los meses en los que se registra un número más elevado son septiembre, julio y junio (230, 228 y 216 casos, respectivamente), mientras que las cifras más bajas se contabilizan en diciembre (178 casos), abril (179) y octubre (191). En el caso de las mujeres, las cifras más elevadas se dan en marzo, octubre y abril (81, 79 y 77 casos); las más bajas en febrero y noviembre: en ambos meses se registran 59 casos. Figura 4 Distribución suicidios por meses y sexo. 15-29 años Fuente: Instituto Nacional de Estadística (2012-2022) Número de suicidios por comunidad autónoma Cataluña y Madrid presentan el mayor número de suicidios en total, con 16 y 15 respectivamente, seguidas de Andalucía y Murcia, con 11 (ver Tabla 2). Sorprende la presencia de Murcia, ya que Murcia no es una de las regiones más pobladas del país. Por otro lado, regiones como La Rioja y Melilla no registraron suicidios en este grupo de edad durante el periodo analizado. Asturias, Canarias, Cantabria, Extremadura o La Rioja también presentan una cifra muy baja (2 casos en Extremadura, y 1 en el resto). Además, se observa una disparidad en la distribución por sexos, con una mayor incidencia en hombres en la mayoría de las regiones, siendo Cataluña y Madrid donde esta diferencia es más notable. Tabla 2 Número total de suicidios por Comunidad Autónoma, franja etaria y sexo Fuente: Instituto Nacional de Estadística En la categoría de 15-29 años, se observa una disparidad significativa entre los suicidios de hombres y mujeres. Cataluña, Andalucía y Madrid emergen como las regiones con el mayor número de suicidios, con 462, 410 y 328 casos, respectivamente. Por otro lado, La Rioja y Ceuta tienen la menor incidencia de suicidios en esta categoría, con 18 y 1 caso respectivamente. En lo que se refiere al análisis de la tasa de suicidio por comunidades autónomas, se destaca una variabilidad significativa entre las regiones y grupos demográficos (Tabla 3). En lo relativo a la franja de edad contemplada, las tasas de suicidio son bastante más elevadas en la población de 15 a 29 años en comparación con los menores de 15 años. En general, las tasas de suicidio en menores de 15 años son bastante bajas en todo el país. La tasa media más elevada se encuentra en Murcia (.57) seguida de Navarra y País Vasco (siendo la tasa en ambas comunidades de .41). No se registra ningún suicidio en este grupo de edad en Castilla-La Mancha, Extremadura, La Rioja y Ceuta y Melilla. En el caso los chicos, no se registra ningún suicidio en las comunidades de Asturias, Cantabria, Castilla-León, Castilla-La Mancha, Extremadura, La Rioja, Ceuta y Melilla y en el caso de las chicas, esto ocurre en Aragón, Asturias, Islas Baleares, Castilla- La Mancha, Extremadura, La Rioja, Ceuta y Melilla. En el caso del grupo de edad de 15-29 años, sí que se observan importantes diferencias entre comunidades autónomas. En el periodo analizado (2018-2022), Aragón (6.05), Navarra (6.02) Asturias (5.9) y Murcia (5.23) registran la tasa media de suicidios más elevadas. Por el contrario, las tasas medias de suicidios más bajas Si desglosamos por sexos, encontramos interesantes diferencias. En el caso de los hombres, las tasas medias de suicidio más elevada se registran en Aragón, Murcia y Navarra (8.94, 8.25 y 8.01, respectivamente). En el caso de las mujeres la tasa media de suicidio más elevada se observa en la Comunidad Valenciana (5.87), seguida de Navarra, Cantabria y Asturias (4.34, 4.17 y 4.14, respectivamente). En cuanto a las diferencias de género, en la mayoría de las comunidades autónomas, las tasas de suicidio son más altas entre los hombres que entre las mujeres, aunque hay algunas excepciones en las que se observa una inversión de esta tendencia. Por ejemplo, en el caso de Cantabria la tasa de suicidio en mujeres en el grupo de 15-29 años superó al de los hombres en 2019 y 2022 (5.33 en mujeres frente a 5.07 y 10.21 frente a 4.86, respectivamente), en Asturias en el año 2020, para el mismo grupo etario (8.61 en mujeres y 6.57 en hombres), en Extremadura en 2021 (2.5 vs. 1.19), en Navarra en 2020 y 2022 (5.92 vs. 3.78 y 5.69 vs. 3.61, respectivamente) o en La Rioja en 2019 (4.49 vs 4.39) y 2022 (8.60 vs. 4.13). Es necesario señalar tasas especialmente altas en el grupo de 15-29 años en 2019 en Navarra en hombres (9.73), en Ceuta (12.10), en 2020, en Asturias, tanto en hombres como en mujeres (6.57 y 8.61) en Melilla (11.06 y 11.82), en 2021 en Melilla en hombres (10.80) y en Navarra en chicos (14.93), y en 2022 en el caso de las chicas en Cantabria (10.21) y La Rioja (8.60) En lo que se refiere a la tasa media general de suicidios en España desglosada por años y edad (Tabla 4) se observa que, en general, las tasas de suicidio tienden a aumentar con la edad, siendo más altas en el grupo de 15 a 29 años en comparación con los menores de 15 años. Para el grupo de menores de 15 años, el hecho más reseñable es el ascenso significativo que se produce en 2021. En el caso de la franja etaria de 15 a 29 años, se observa un aumento progresivo en la tasa media de suicidio a lo largo de los años. Este aumento podría reflejar una tendencia preocupante, que se viene registrando desde la pandemia. Tabla 4 Tasa media general de suicidio por franja etaria y año (2018-2022) Fuente: Instituto Nacional de Estadística En cuanto al tamaño del municipio se observa una tendencia curiosa. Si bien, el mayor número de suicidios se produce en las capitales donde la densidad de población es mayor y, por tanto, mayor probabilidad de que se produzcan intentos autolíticos; el segundo lugar donde más suicidios se producen (exceptuando el año 2016) es en los municipios más pequeños (donde se registra por ende, una tasa bastante elevada para estos grupos de edad, especialmente el grupo 15-29 años) (ver Tabla 5). El objetivo de este trabajo era elaborar un perfil descriptivo de la problemática del suicidio en la población infantojuvenil, analizando las tendencias, distribución geográfica y métodos empleados en dos grandes grupos de edad: menores de 15 años y adolescentes/jóvenes de entre 15 y 29 años, durante el período 2012-2022. De este modo, se espera que este trabajo contribuya al cuerpo de conocimiento existente sobre el suicidio juvenil y sirva de base para futuras investigaciones y estrategias preventivas. El análisis sociodemográfico del suicidio en España entre 2012 y 2022 ha permitido identificar patrones clave sobre la prevalencia de este fenómeno en diversas poblaciones, con especial atención a los grupos infantojuveniles. Este estudio ha abordado variables esenciales como la edad, el género, la ubicación geográfica, el método utilizado y la estacionalidad, proporcionando una visión más precisa sobre los factores de riesgo asociados. En particular, los suicidios en menores y adolescentes reflejan una problemática alarmante que requiere atención urgente. Los resultados hallados confirman la tendencia observada en la literatura internacional respecto a la mayor prevalencia del suicidio en varones, un patrón ampliamente documentado en investigaciones previas (Rosado et al., 2014). En el grupo de menores de 15 años, se reportó una proporción de suicidios masculina de casi el doble respecto a las mujeres, lo que coincide con las tendencias globales (Arcos Rodríguez et al., 2023). Sin embargo, se ha revelado una fluctuación significativa en la relación de género en años específicos, como en 2017 y 2020, cuando los casos femeninos igualaron o superaron a los masculinos. Esto es relevante, ya que podría indicar cambios en los factores de riesgo específicos de género, como el aumento de la autolesión en adolescentes femeninas (Twenge et al., 2021). En el grupo de 15 a 29 años, se observa un patrón más consolidado de mayor prevalencia de suicidios en varones, con una relación aproximadamente de 3:1. Este hallazgo concuerda con estudios previos que sugieren que los hombres tienden a emplear métodos más letales y presentan menores tasas de búsqueda de ayuda (Mejías-Martín et al., 2019). La literatura científica señala que factores como las adversidades familiares y los trastornos mentales juegan un papel crucial en la génesis de la conducta suicida en los jóvenes (Bridge et al., 2006). Adicionalmente, el abuso de sustancias, el acoso escolar y la presión social son elementos que incrementan el riesgo de suicidio juvenil (Azúa Fuentes et al., 2020; Nock et al., 2013). Estos hallazgos sugieren la necesidad de políticas públicas focalizadas en intervenciones psicosociales que fortalezcan las relaciones familiares y el apoyo emocional en el hogar, además de ofrecer una atención temprana a los trastornos mentales como la depresión y el trastorno bipolar. En cuanto a la variabilidad geográfica, se observa que las tasas de suicidio entre adolescentes y jóvenes en España son desiguales en función de la comunidad autónoma, lo que sugiere que factores socioeconómicos y la disponibilidad de servicios de salud mental juegan un papel determinante (Martínez-Alés et al., 2020). Este hecho resalta la importancia de adaptar las políticas de salud mental a las características locales de cada región. Aunque algunas comunidades presentan tasas superiores a la media nacional, es fundamental que las políticas se orienten hacia la reducción de las disparidades regionales, mejorando el acceso a recursos y servicios de salud mental. A nivel social, la presión académica y el ciberacoso se suman a los factores de riesgo, especialmente durante la pandemia de COVID-19, que exacerbó los problemas de salud mental entre los jóvenes (Meade, 2021; Nearchou et al., 2020), lo que, en combinación con la dependencia de las redes sociales, intensificó el aislamiento juvenil y las dificultades para acceder a la atención profesional (Loades et al., 2020). Así, el aumento del suicidio femenino en años recientes podría estar relacionado con factores como la mayor prevalencia de trastornos emocionales en adolescentes, el ciberacoso y la presión social (Paricio del Castillo et al., 2023). Este contexto plantea una gran oportunidad para replantear las estrategias de prevención, enfocándolas en la intervención temprana y el fortalecimiento de redes de apoyo. Por otro lado, un aspecto fundamental que debe ser considerado es el “efecto de imitación”, que refiere al impacto de los suicidios de figuras públicas o personas cercanas sobre los jóvenes más vulnerables (Hinduja y Patchin, 2010). Este fenómeno subraya la necesidad de intervenciones preventivas que aborden no solo los factores personales y familiares, sino también la influencia de los medios y las redes sociales en la salud mental juvenil. El análisis de la distribución mensual de los suicidios sugiere que existen patrones estacionales, con picos en primavera y otoño. Este hallazgo es consistente con estudios previos que asocian la mayor incidencia de suicidios en primavera con cambios biológicos y psicológicos relacionados con la variación de la luz y el clima (Lee et al., 2006). Asimismo, la marcada diferencia en las tasas de suicidio juvenil en otoño y la estabilidad en los meses de verano podrían estar influenciadas por el estrés académico y el retorno a la rutina escolar, lo que refuerza la necesidad de intervenciones dirigidas a la salud mental en estos periodos críticos. Los meses de primavera y otoño muestran un aumento en los suicidios, lo que puede estar relacionado con factores como el cambio de estaciones, las rutinas diarias y las presiones sociales asociadas a determinados períodos del año (Bridge et al., 2006). No obstante, este fenómeno varía en función de la localización geográfica y las características de las poblaciones, lo que resalta la necesidad de intervenciones adaptadas a las circunstancias locales. Los datos encontrados confirman que el ahorcamiento/estrangulamiento y el salto desde lugares elevados son los métodos más comunes en menores de 15 años, mientras que, en la franja de 15 a 29 años, el envenenamiento autoinfligido y el ahorcamiento predominan. Estos hallazgos son coherentes con estudios previos que destacan diferencias en la letalidad de los métodos según la edad y el género (Cai et al., 2022). Este aspecto es crucial para el desarrollo de estrategias preventivas: la restricción del acceso a medios letales ha sido identificada como una de las medidas más efectivas para reducir el riesgo de suicidio (Zalsman et al., 2016). Por lo tanto, políticas de seguridad ambiental, como la instalación de barreras en puentes o el control de sustancias tóxicas, deberían considerarse en el diseño de programas de prevención del suicidio en España. Por último, la falta de un Plan Nacional de prevención del suicidio en España limita la efectividad de las políticas autónomas. La implementación de un enfoque coordinado y unificado a nivel nacional, similar a los modelos de países como Finlandia y Noruega, podría mejorar la distribución de recursos y aumentar la efectividad de los esfuerzos preventivos (OMS, 2020). Este estudio presenta algunas limitaciones que deben tenerse en cuenta al interpretar los resultados. En primer lugar, la disponibilidad y calidad de los datos a nivel nacional pueden estar sesgadas debido a factores como el subregistro de casos de suicidio, especialmente en áreas rurales o con menor acceso a recursos. Además, el estudio se basa en datos de registros oficiales, lo que podría no reflejar completamente la magnitud del problema debido a posibles diferencias en los criterios de registro en diferentes comunidades autónomas. Tampoco se ha profundizado en el análisis de factores de riesgo (acceso a medios letales, ciberacoso, estrés académico), que podría haber proporcionado mayor profundidad en la comprensión del fenómeno. Llegados a este punto, es necesario plantear la necesidad de una investigación más profunda sobre los factores que puedan explicar esta tendencia, como la influencia de las características culturales y el contexto social local en las tasas de suicidio. La falta de investigaciones que integren estos aspectos podría representar un vacío importante en la comprensión completa de la problemática en diferentes regiones de España. Sería de gran valor, en futuros trabajos, continuar evaluando la tendencia de los suicidios, ampliando el análisis con datos más actuales y detallados que permitan identificar patrones emergentes. Este seguimiento contribuiría a comprender con mayor profundidad las dinámicas que subyacen a esta problemática. Al mismo tiempo, es esencial desarrollar herramientas y recursos para prevenir el suicidio adaptados a las necesidades particulares de cada casuística, y que puedan implementarse tanto a nivel individual como en comunidades. Investigaciones futuras deberían considerar variables culturales y sociales propias a la idiosincrasia encontrada en cada comunidad autónoma, ya que factores como el contexto socioeconómico, las creencias culturales y las estructuras familiares influyen en la percepción del suicidio y en las estrategias de intervención. Este enfoque permitiría diseñar intervenciones preventivas personalizadas, teniendo en cuenta las características y los desafíos únicos de cada región, lo que, a su vez, incrementaría la eficacia de los programas y su capacidad para reducir los índices de suicidio. No obstante, pese a las limitaciones, debemos considerar que los hallazgos de este estudio representan una contribución valiosa para seguir avanzando en la comprensión y abordaje del suicidio juvenil, subrayando la necesidad urgente de continuar investigando y actuando para mitigar este grave problema de salud pública. Se han identificado patrones clave en las tasas de suicidio en España entre 2012 y 2022, ofreciendo implicaciones prácticas cruciales para la prevención y la intervención. Más concretamente, sería interesante diseñar e implantar intervenciones específicas en el entorno educativo, que integren la salud mental y la prevención del acoso, así como la implementación de programas de apoyo familiar. Otro hallazgo importante es la variabilidad geográfica en las tasas de suicidio, lo que sugiere que las políticas de salud mental deben ser adaptadas a las necesidades locales, considerando el acceso a recursos y el contexto socioeconómico de cada comunidad autónoma. Las regiones con menor acceso a servicios de salud mental y mayores niveles de aislamiento social deben ser priorizadas en términos de recursos y programas de intervención. Además, la estacionalidad observada en las tasas de suicidio, con picos en primavera y otoño, subraya la importancia de diseñar intervenciones preventivas que tengan en cuenta estos períodos críticos. El fortalecimiento de la red de apoyo social durante estos meses, así como el fomento de estrategias de afrontamiento para manejar el estrés estacional, podrían ayudar a reducir el riesgo suicida. Finalmente, la ausencia de un plan nacional de prevención del suicidio en España limita la eficacia de las medidas a nivel autonómico. La creación e implementación de un plan nacional coordinado podría ser fundamental para abordar de manera efectiva el suicidio en el país, permitiendo una respuesta más coherente y accesible para toda la población. En resumen, el estudio subraya la necesidad urgente de políticas públicas integrales, adaptadas a las características sociodemográficas y geográficas de la población, que incluyan medidas preventivas, de tratamiento y de sensibilización para reducir las tasas de suicidio en España. Para citar este artículo: Navarro Gómez, N. y Trigueros-Ramos, R. (2025). Perfil infantojuvenil del suicidio en España: análisis de los últimos datos y tendencias disponibles (2012-2022). Clínica Contemporánea, 16(2), Artículo e10. https://doi.org/10.5093/cc2025a10 Referencias |
Correspondencia
Para citar este artículo: Gómez, N. N. y Trigueros-Ramos, R. (2025). Perfil infantojuvenil del suicidio en España: análisis de los últimos datos y tendencias disponibles (2012-2022). Clínica Contemporánea, 16(2), Artículo e10. https://doi.org/10.5093/cc2025a10
La correspondencia de este artículo debe ser enviada a Noelia Navarro al email: nng777@ual.es








